放射性物質の半減期に関する問題は、環境計量士で出題されることがある計算問題です。
一見すると log を使う難しい問題に見えますが、
まずは 半減期とは何か を整理すると考えやすくなります。
本記事では、令和7年 環境計量士(環境計量士(濃度関係))試験の出題内容を参考に、一部数値を変更した類題を用いて、考え方と解き方を整理しています。
計算問題全体の整理から確認したい方は、まずこちらの記事をご覧ください。
→ 環境計量士(濃度関係)計算問題の基本構造と5つの型
この記事で学べること
- 半減期の意味
- 何回半減するかの整理方法
- 選択肢を絞る考え方
- logを使った本試験型の解き方
問題(類題)
ある放射性物質の半減期は10年である。
最初の物質量の12分の1になるのは何年後か。
ただし、
log10 2 = 0.30 、log10 3 = 0.48とする。
解説
① まず半減期の意味を整理する
半減期10年とは、
10年で半分になる
という意味です。
したがって、
- 10年後 → 1/2
- 20年後 → 1/4
- 30年後 → 1/8
- 40年後 → 1/16
となります。
12分の1はどの範囲にあるか
今回求めたいのは12分の1です。
12分の1は、
1/8 >1/12>1/16 なので、1/8と1/16の間にあります。
つまり、
30年〜40年の間
にあることがわかります。
ここがこの問題の本質
この問題はまず、
log の前に範囲を見る
ことが重要です。
何回半減したかを先に見る
だけで、かなり整理できます。
5肢択一ではここでかなり絞れる
環境計量士は5肢択一なので、
もし選択肢の中で30〜40年の間に入るものが1つしかなければ、
この時点で正解を選ぶことができます。
ただし正確な値は式で求める
ここからは正確な年数を出します。
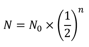
半減期問題の基本式は、

です。
ここで、
N / N0 = 1/12
なので、
1/12 = (1/2)^n
両辺の常用対数をとって計算する
log(1/12) = n log(1/2)
n = log12 ÷ log2
として、
12 = 3 × 4
log12 = log3 + log4
log4 = 2log2 = 0.60
log3 = 0.48
なので、
log12 ≒ 1.08
n = 1.08 ÷ 0.30 = 3.6
年数へ変換
半減期10年なので、
10 × 3.6 = 36年
答え
36年後
この問題のポイント
まずは、
何回半減の間にあるか
をおおざっぱに見ると整理しやすくなります。
そのうえで、整数回で割り切れなければ log を使います。
よくあるミス
- 12分の1をいきなり式に入れて混乱する
- 半減回数の範囲確認をしない
- log計算で桁を間違える
まとめ
半減期問題では、地道ではありますが、
まず1/2 → 1/4 → 1/8 → 1/16
と並べると全体像が見えます。
そこから必要に応じて log を使うと整理しやすくなります。
関連記事
環境計量士の計算問題に慣れるためには、次の基本パターンもあわせて確認しておくと整理しやすくなります。参考になれば幸いです。


コメント