【計算問題#6】液液抽出では「分けて抽出する方が有利」になる理由を計算で理解する

環境計量士(環化)の計算問題では、単に公式を覚えるだけではなく、
なぜその操作で回収率が変わるのか
を理解しているかが問われます。

その代表例が液液抽出です。
水相と有機相の間で物質がどのように分配されるかを扱う問題では、

  • 1回でまとめて抽出する場合
  • 溶媒を分けて複数回抽出する場合

の違いに関する問題が出たことがあります。

単に公式を覚えるだけでなく、


なぜ操作を分けると回収率が上がるか


まで理解できると崩れにくくなります。

特に重要なのは、


毎回「残った量」に対してもう一度分配が起こる


という考え方です。

今回は、分配の法則を用いて、

  • 分配係数の求め方
  • 1回抽出と2回抽出の比較
  • なぜ分割抽出が有利になるか

を丁寧に整理します。


※補足

本記事では、令和5年環境計量士(環化)試験の出題内容を参考に、
一部数値を変更した類題を用いて解説しています。

計算問題全体の整理から確認したい方は、まずこちらの記事をご覧ください。
環境計量士(濃度関係)計算問題の基本構造と5つの型


この記事で学べること

  • 分配係数の求め方
  • 液液抽出における抽出量の計算方法
  • 分割抽出が有利になる理由
  • 試験で途中式を整理するコツ

問題

物質Aを1.60 g含む100 mLの水溶液を二つ用意した。

一方の水溶液に100 mLのヘキサンを加えてよく振り混ぜたところ、1.00 gのAがヘキサン相に移動した。
他方の水溶液は、ヘキサンを半分に分けて50 mLずつ2回の抽出操作を繰り返した。
この場合、水相からヘキサン相に抽出されるAは何gになるか。
ただし、Aは水相およびヘキサン相中で会合や解離をせず、両相への濃度比は一定値を保つものとする。


解説

① まず分配係数を求める

100 mLヘキサンで1回抽出したとき、
ヘキサン相へ移動したAの量:1.00 g
水相に残ったAの量:1.60-1.00=0.60g

分配係数 K は、

です。

今回は元の水溶液もヘキサンも両方100 mLなので、そのまま質量比で求められます。

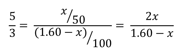
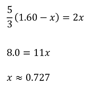
② 1回目(50 mL抽出)

1回目に x g 抽出されるとすると、
水相には 1.60−x [g] 残ります。
分配係数より、

単位を見ると意味がわかる

分子も分母も、


g/mL(濃度)


です。


体積比が2倍になる

ので、x について解いていくと、

となります。

③ ここが本質:残った量が次の出発点

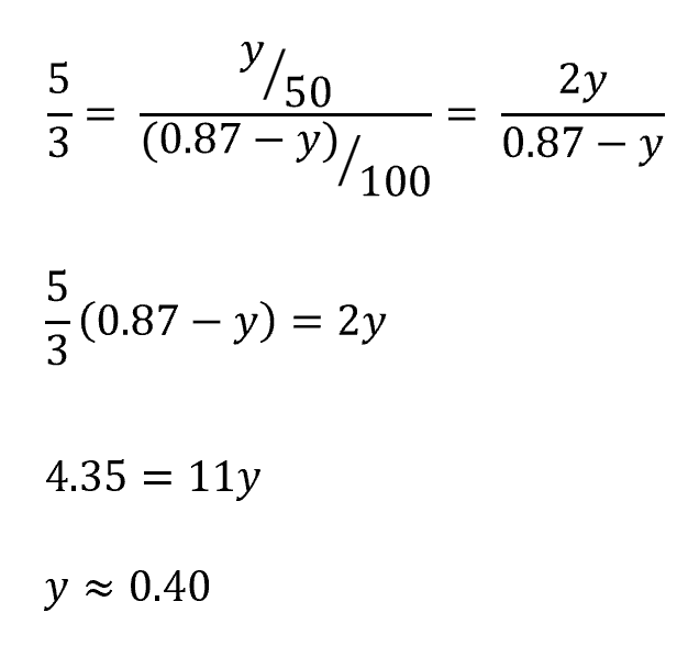
続いて1回目の後に水相に残る量は、単純に引き算で 1.60−0.73=0.87 [g]です。

つまり、

次はこの 0.87 g が新しいスタート

です。

④ 2回目の抽出

2回目にy [g]抽出されるとすると、
1回目と同様に計算して、

となります。

⑤ 合計抽出量

よって合計抽出量は、
0.73+0.40=1.13 [g]

答え

1.13 [g]


なぜ分割抽出の方が有利なのか

100 mLを1回使うと1.00 g抽出でしたが、50 mLずつ2回では1.13 g抽出できます。
これは、1回目後にもまだ水相に残っている物質に対して、再び分配が働くためです。
つまり、
同じ総溶媒量なら分けて抽出した方が効率が高い
ということです。
これは実際の有機溶媒抽出や環境分析の前処理でも非常に重要です。

この問題の見方

液液抽出は、


最初に K

次に残量

その残量で再計算


です。


毎回「残った量」が主役


と考えると整理しやすくなります。


まとめ

今回のような液液抽出では下記がポイントになってきます。

  • まず既知条件から分配係数を求める
  • 分割抽出では毎回「残量」で再計算する
  • 総溶媒量が同じでも複数回抽出が有利
  • 計算が複数回ある場合は丁寧な途中式整理でミスをなくす

液液抽出は過去あまり試験に出た回数は多くないですが、
実際に出題されると「うっ・・」となるタイプの問題に感じる人が多いと思います。
ぜひこの問題を参考にしてとっつきにくさを少しでも解消してくだされば幸いです。


関連記事

環境計量士の計算問題を他にも解説していますので参考になれば幸いです。
また環境計量士の計算問題に共通して言える基本構造を整理した記事もあります。

コメント

タイトルとURLをコピーしました